Problem 💻
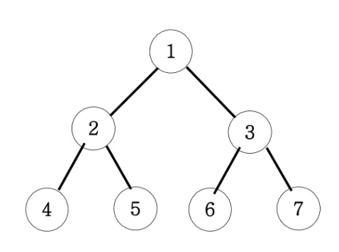
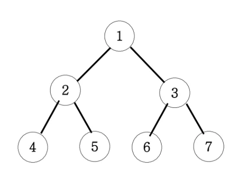
아래 그림과 같은 이진트리를 전위순회, 중위순회, 후위순회로 출력할 수 있게 연습해 보세요.

전위순회 출력 : 1 2 4 5 3 6 7
중위순회 출력 : 4 2 5 1 6 3 7
후위순회 출력 : 4 5 2 6 7 3 1
Solution 💡
class Node {
int data;
Node lt, rt;
public Node(int val) {
data = val;
lt = rt = null;
}
}
public class INF0705 {
Node root;
public static void main(String args[]) {
INF0705 tree = new INF0705();
tree.root = new Node(1);
tree.root.lt = new Node(2);
tree.root.rt = new Node(3);
tree.root.lt.lt = new Node(4);
tree.root.lt.rt = new Node(5);
tree.root.rt.lt = new Node(6);
tree.root.rt.rt = new Node(7);
tree.DFS(tree.root);
}
public void DFS(Node root) {
if (root == null) {
return;
} else {
// System.out.print(root.data + " "); // 전위순회 1 2 4 5 3 6 7
DFS(root.lt);
// System.out.print(root.data + " "); // 중위순회 4 2 5 1 6 3 7
DFS(root.rt);
System.out.print(root.data + " "); // 후위순회 4 5 2 6 7 3 1
}
}
}
풀이
트리 구조를 꼭 그려보고, 전위순회/중위순회/후위순회에 대해 순서가 스택을 그려보면서 꼭 이해해 보자!
적는데 오래 걸렸지만 확실히 이해가 됐다.




'💡 Algorithm > 인프런' 카테고리의 다른 글
| [Java] 매출액의 종류 (2) | 2024.11.27 |
|---|---|
| [Java] 멘토링 - Array(1, 2차원 배열) (0) | 2024.11.14 |
| [Java] 두 배열 합치기 - Two-Pointers Algorithm (0) | 2023.10.28 |
| [Java] 등수구하기 - Array(1, 2차원 배열) (0) | 2023.10.24 |
| [JAVA] 임시반장 정하기 - Array(1, 2차원 배열) (0) | 2023.10.23 |
| [JAVA] 봉우리 - Array(1, 2차원 배열) (0) | 2023.10.22 |